近日,公司m88官网先进电池材料团队与复旦大学合作在国际顶级期刊《Angewandte Chemie International Edition》上发表水系锌离子电池最新研究进展。《Angewandte Chemie International Edition》是全球化学研究领域最具影响力的学术期刊之一,主要收录在化学、材料和能源等领域原创性的学术研究成果。公司为论文第一单位,徐杰副教授为论文第一作者和通讯作者,m88官网马连波教授和复旦大学王永刚教授为共同通讯作者。研究工作得到国家自然科学基金、安徽省教育厅重点项目和m88官方网站登录地址高层次人才启动经费的支持。
水系锌离子电池(AZIBs)在安全性和成本效益方面具有显著优势,但锌枝晶生长和不稳定的界面反应限制了其商业化应用。传统水系锌离子电池采用的是玻璃纤维隔膜,该隔膜不仅厚重(>300 mm)而且无离子选择透过性,往往造成放电中间体材料的穿梭和循环稳定性下降。除此之外,玻璃纤维隔膜需要吸纳充足电解液才能够保证离子的正常输运,但过多的电解液又进一步加速电极/电解质界面副反应的发生。解决这些问题的关键在于优化隔膜,以调控离子传输并稳定电极界面。

(使用不同隔膜的电池工作机理对比图)
团队设计了一种具有准单离子导电性的共价有机框架(COF)的隔膜,即采用锌离子取代的磺酸盐COF(COF-Zn)膜,旨在解决这些挑战。该COF-Zn隔膜具有较高的锌离子迁移数(0.87)和薄至25 mm的厚度,能够减少电解液的使用量(20 μL mg-1),同时有效减少阴极溶解。这种准单离子导电性和负电性特性通过降低水活性,同时改善了锌负极的稳定性。

(改性隔膜的基本性质)

(组装的Zn/COF-Zn/PTO全电池的室温性能)

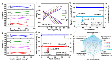
(Zn/COF-Zn/PTO全电池的在定制电解液中的全气候循环性能)
采用该隔膜实现了超稳定的AZIBs,研究验证了包括Zn//4,5,9,10-芘四酮(PTO)、Zn//I2和Zn//V2O5在内的各种全电池的性能。特别是Zn//PTO电池在贫电解液的条件下达到了260 Wh kg-1的能量密度,100%的容量保持率,并且采用定制电解液能够在-40°C至+100°C的全气候条件下稳定循环。研究成果为超稳定、宽温域稳定运行的水系锌离子电池设计提供了新的解决方案。(撰稿:徐杰 顾京宇 审核:赵何腹 李永涛)
论文链接:https://onlinelibrary.wiley.com/doi/abs/10.1002/anie.202423118